近日,西北工业大学聂飞平教授团队在模糊聚类算法优化领域取得重要进展。团队创新性地提出了无约束模糊C均值聚类算法(UC-FCM),有效解决了传统算法因复杂约束而易陷入较差局部解的问题,显著提升了聚类效果的准确性和鲁棒性。相关研究成果以“Unconstrained Fuzzy C-Means Algorithm”为题,发表于计算机视觉与模式识别领域的国际顶尖学术期刊IEEE Transactions on Pattern Analysis and Machine Intelligence(TPAMI)上。
模糊C均值聚类算法(FCM)作为一种经典的无监督学习技术,通过计算样本对各簇的隶属度来捕捉数据的结构信息,广泛应用于图像分割及模式识别等领域。然而,受限于隶属度矩阵的行和约束及优化变量耦合,FCM的目标函数难以直接优化,常用的交替优化策略往往导致算法收敛于较差的局部解,限制了其在复杂场景下的性能表现。
针对这一挑战,团队从优化视角出发,提出了一种与原FCM等价的最小化问题模型。通过数学变换,利用簇中心矩阵固定时的解析解替代隶属度矩阵,将原有的受限优化问题转化为无约束优化问题。这一转化不仅消除了约束条件,更显著减少了优化变量。在此基础上,团队摒弃了传统的交替迭代策略,引入动量梯度下降法直接求解,不仅能够以线性时间复杂度处理大规模数据,还有效避免了模型陷入较差局部解。
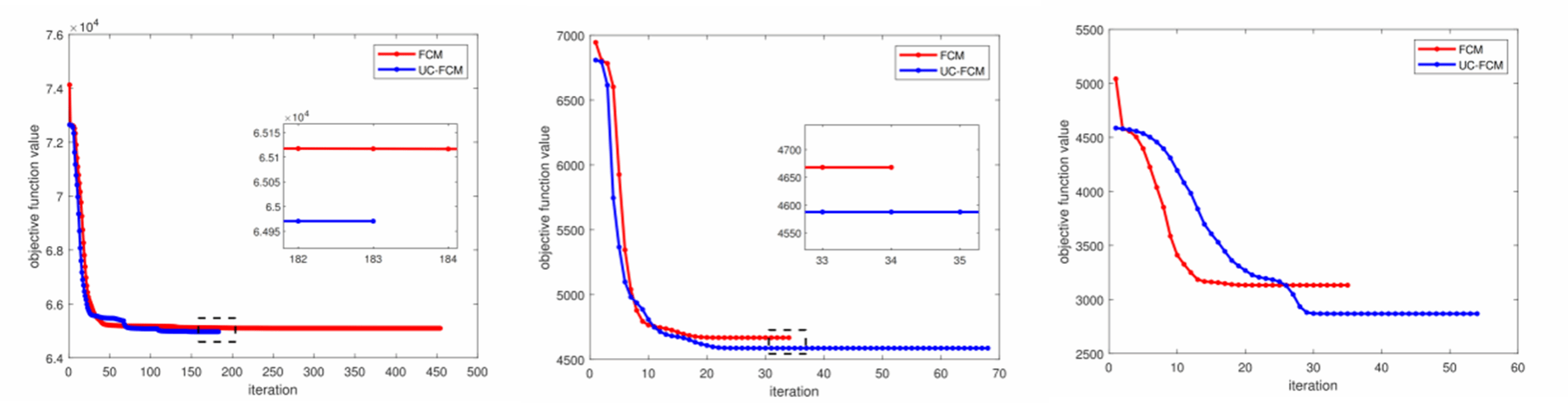
在多个基准数据集上的广泛实验表明,在相同初始化条件下,UC-FCM相比传统FCM能收敛至更优的局部极小值,展现出更好的聚类性能。此外,该算法在与现有多类先进聚类算法的对比中亦表现出强劲竞争力。值得一提的是,得益于其无约束特性及基于梯度的求解框架,UC-FCM易于作为聚类损失模块无缝集成至深度学习网络中,为无监督机器学习算法的演进提供了全新的研究方向。
西北工业大学光电与智能研究院聂飞平教授为论文的第一作者及通讯作者。该项研究工作得到了国家自然科学基金等项目的资助与支持。

图 1 UC-FCM与FCM的在部分基准数据集上目标函数值收敛曲线对比
文章链接:https://ieeexplore.ieee.org/document/10848345。
(文:张润鑫,审核:赵斌 )

搜索
英文
联系我们
首页 